중년여성, 혈중 지질농도 ‘폐경 이전’부터 증가
국립보건연구원, 40세 이상 폐경 전 여성 1436명 대상 분석
이주영 기자 jylee@yakup.com 뉴스 뷰 페이지 검색 버튼
입력 2023-08-27 06:00   수정 2023.08.27 06:00
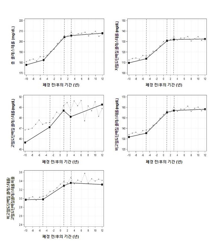
폐경 전·후 혈중 지질농도 변화. ⓒ질병관리청

질병관리청(청장 지영미) 국립보건연구원(원장 박현영)은 여성에서 혈중 지질농도는 폐경 이전부터 높아진다는 연구결과를 지난 7일 전문학술지에 발표했다고 밝혔다.

혈중지질농도는 혈액 내 콜레스테롤, 중성지방 등의 농도로, 농도가 높을 경우 심혈관계질환의 위험이 높아지는 것으로 알려져 있다.

이번 연구는 지역사회기반 동일집단(코호트) 조사 참여자 중 폐경 전 여성 1436명을 대상으로 18년간의 추적 자료를 분석한 결과다.

그동안 폐경 후 여성에서 고지혈증 및 심혈관질환 위험이 높다고 알려져 있으나, 혈중 지질농도 변화가 언제부터 시작되는지에 대한 근거는 부족했다.

연구진은 폐경 3~5년 전부터 폐경 후 1년까지 중년 여성의 혈중 지질농도가 가장 크게 증가하는 것을 확인했다.

주요 연구 결과로는 먼저 동맥경화의 위험을 높인다고 알려진 저밀도지단백 콜레스테롤은 폐경 5년 전부터 폐경 후 1년까지 연간 평균 2.95mg/dL씩 증가했다.

또한 동맥경화를 예방한다고 알려진 고밀도지단백 콜레스테롤 또한 폐경 3년 전부터 폐경 후 1년까지 증가하는 경향이 있었으나, 콜레스테롤의 증가비율을 고려하면 동맥경화의 위험을 높이는 방향으로 변화했다.

이에 따라 연구진은 폐경이행기의 건강관리가 중요하다고 강조했다. 폐경이행기는 여성이 완전한 폐경에 이르기까지 월경주기의 변화와 함께 다양한 생리학적 변화를 경험하는 시기로, 국립보건연구원에서는 폐경이행기 여성의 특성을 파악하기 위해 갱년기여성건강코호트 사업을 진행하고 있다.

질병청 국립보건연구원의 여성건강연구사업으로 진행된 이번 연구는 대한의학회 공식학술지에 게재됐다.

박현영 국립보건연구원장은 “폐경을 앞두고 중년여성의 다양한 신체적·정신적 건강지표에 변화가 있는 것으로 보고되고 있어, 폐경 이전부터 꾸준한 건강관리가 필요하다”고 당부했다.

전체댓글 0개
    등록된 댓글이 없습니다.